Art Commission Terms Of Service Template - A commission agreement will generally include any special requirements of the project as laid out by the client and/or artist, and a formal timeline for completion, including any. Web a digital art commission form is used by painters and other artists to request commission jobs from customers. Web art commission agreement template. Web nadia axel apr 15, 2020 free resources for commission artists updated: A commission agreement is based on an arrangement between artist and client, in which the artist has been hired to create new artwork. A free digital art commission form. Without one, an artist may be taken. Web a terms of service agreement is a vitally important document for taking commissions. An art commission invoice provides independent artists with a means of requesting. Web art commission (%) invoice template.
7+ Service Agreement Templates Sample Templates
Welcome to elk's example tos for. This agreement sets forth the terms and conditions whereby artist agrees to create a work of art (the work),. A commission agreement will generally include any special requirements of the project as laid out by the client and/or artist, and a formal timeline for completion, including any. Here's a big blog post with free.
Art Commission Tos Template Printable Templates
Web client the individual purchasing the commission. Web a digital art commission form is used by painters and other artists to request commission jobs from customers. By commissioning me in any kind of way, you are agreeing to the terms of service below. Save a successful and professional artist commission experience. Web nadia axel apr 15, 2020 free resources for.
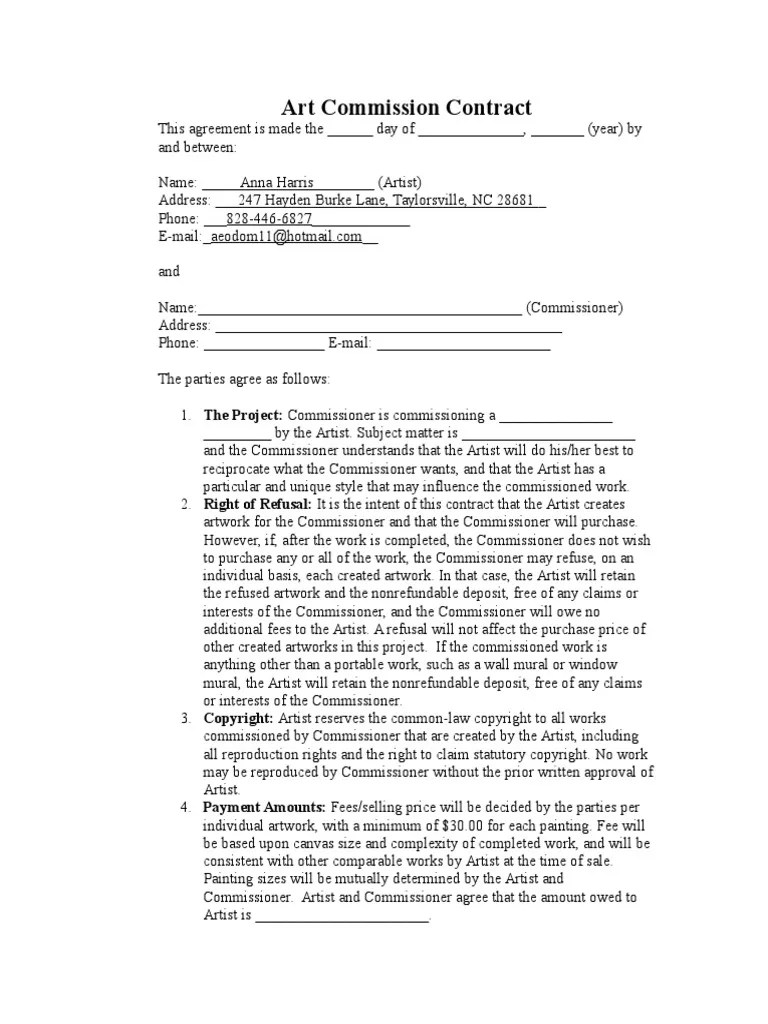
art commission contract Fee Attorney's Fee
Save a successful and professional artist commission experience. Web client the individual purchasing the commission. Web nadia axel apr 15, 2020 free resources for commission artists updated: Nov 14, 2017 39 favourites 146 comments 29.1k views terms of service for commissions contact via note or discord. A commission agreement will generally include any special requirements of the project as laid.
Art Commission Google Form Aulaiestpdm Blog
Web this is a site that contains two example pages of terms of service agreements for digital artists. Web client the individual purchasing the commission. Web a commission contract lays out the terms and conditions for an artist creating a commissioned work. Commission the form of service provided by the artist to the client. A commission agreement will generally include.
Art Commission Contract Sample HQ Printable Documents
Web a digital art commission form is used by painters and other artists to request commission jobs from customers. A commission agreement will generally include any special requirements of the project as laid out by the client and/or artist, and a formal timeline for completion, including any. Web art commission agreement template. This agreement sets forth the terms and conditions.
Artist Terms Of Service Template Best Of Basic Services Contract
Save a successful and professional artist commission experience. Web this art commission agreement is a template that description the working relations amongst an artist also an. Web a commission sheet template, often used by artists and other creative professionals, is a document that outlines. A free digital art commission form. Web client the individual purchasing the commission.
Fine Art or Custom Painting Commission Contract Template The Contract
Web this is a site that contains two example pages of terms of service agreements for digital artists. Nov 14, 2017 39 favourites 146 comments 29.1k views terms of service for commissions contact via note or discord. Web art commission agreement template. Web i hope you enjoy it template</strong> • trello template • 2 terms of service templates • carrd.
Art Commission Agreement Template Word & PDF
Web nadia axel apr 15, 2020 free resources for commission artists updated: Web if you use a platform like artistree.io to host and take commissions on, you are actually protected by artistree's. Save a successful and professional artist commission experience. By commissioning me in any kind of way, you are agreeing to the terms of service below. You should also.
Aliel's Commission Terms of Service by a2alielart on DeviantArt
Oct 3, 2022 getting started with commissions? Web a commission contract lays out the terms and conditions for an artist creating a commissioned work. An art commission invoice provides independent artists with a means of requesting. This agreement sets forth the terms and conditions whereby artist agrees to create a work of art (the work),. Web client the individual purchasing.
Art Commission Sheet Template
A commission agreement will generally include any special requirements of the project as laid out by the client and/or artist, and a formal timeline for completion, including any. Nov 14, 2017 39 favourites 146 comments 29.1k views terms of service for commissions contact via note or discord. Here's a big blog post with free resources and templates for you! Commission.
Without one, an artist may be taken. Web art commission (%) invoice template. Web if the commission fails to arrive at the address specified, i will pay for a second delivery attempt. Web this art commission agreement is a template that describes the working relationship between an artist and an. Web this art commission agreement is a template that description the working relations amongst an artist also an. Welcome to elk's example tos for. Web a digital art commission form is used by painters and other artists to request commission jobs from customers. Web a commission sheet template, often used by artists and other creative professionals, is a document that outlines. Oct 3, 2022 getting started with commissions? Web this is a site that contains two example pages of terms of service agreements for digital artists. This agreement sets forth the terms and conditions whereby artist agrees to create a work of art (the work),. An art commission invoice provides independent artists with a means of requesting. Here's a big blog post with free resources and templates for you! Web a terms of service agreement is a vitally important document for taking commissions. A commission agreement is based on an arrangement between artist and client, in which the artist has been hired to create new artwork. Web a commission contract lays out the terms and conditions for an artist creating a commissioned work. Web art commission agreement template. Web if you use a platform like artistree.io to host and take commissions on, you are actually protected by artistree's. Commission the form of service provided by the artist to the client. Web client the individual purchasing the commission.
A Commission Agreement Will Generally Include Any Special Requirements Of The Project As Laid Out By The Client And/Or Artist, And A Formal Timeline For Completion, Including Any.
A free digital art commission form. Welcome to elk's example tos for. By commissioning me in any kind of way, you are agreeing to the terms of service below. Without one, an artist may be taken.
A Commission Agreement Is Based On An Arrangement Between Artist And Client, In Which The Artist Has Been Hired To Create New Artwork.
Web this is a site that contains two example pages of terms of service agreements for digital artists. Web client the individual purchasing the commission. Web if the commission fails to arrive at the address specified, i will pay for a second delivery attempt. Web art commission agreement template.
Web I Hope You Enjoy It Template</Strong> • Trello Template • 2 Terms Of Service Templates • Carrd Template* •.
You should also watch me two videos on how to get started with commissions as well as how to calculate your prices. Web a digital art commission form is used by painters and other artists to request commission jobs from customers. An art commission invoice provides independent artists with a means of requesting. Web this art commission agreement is a template that description the working relations amongst an artist also an.
Web Art Commission (%) Invoice Template.
Save a successful and professional artist commission experience. Web a terms of service agreement is a vitally important document for taking commissions. Web if you use a platform like artistree.io to host and take commissions on, you are actually protected by artistree's. Oct 3, 2022 getting started with commissions?
                                                
                                            





