Screenplay Option Agreement Template - The agreement dated 1 may 1992 between the writers' guild of great britain and the. Web screenplay option agreement template april 13, 2021 admin please be abiding to apprehend all guidelines afore. Screenwriter agreements technically, a labor agreement formatted with details similar to what you might expect from a labor contract or employment contract. A production company wants time to see. Web wggb screen credits agreement: Using a screenplay option agreement template is relatively. Web an “option agreement” usually comes in the form of two agreements: Web here is what every writer should see about the ins or outs of option agreements and instructions to make the of out of. A writer has written an original screenplay. Web secure your option for worldwide motion picture, exploitation and merchandising rights to an original.
Screenplay Option Agreement Template
The agreement dated 1 may 1992 between the writers' guild of great britain and the. Screenwriter agreements represent an agreement made between the screenwriter and the production company or studio. Web an option agreement at its most basic is a contract whereby the writer grants someone, for a period of time and. Web this screenplay choose agreement template lives a.
Screenplay Option Agreement Film Contract Template in 2022 Contract
Web this screenplay option agreement template is a contract that permits a producer or a studio to obtain. Web this screenplay option agreement template is a contract that allows a producer or a studio to procure the film rights to a. A huge drawback many beginner writers have after signing an option. Web this screenplay choose agreement template lives a.
Screenplay Option Agreement Template
Web screenplay option agreement template april 13, 2021 admin please be abiding to apprehend all guidelines afore. Web wggb screen credits agreement: Screenwriter agreements represent an agreement made between the screenwriter and the production company or studio. Web screenplay option agreement template. Web this screenplay option agreement document is a contract that allows a producer alternatively a studio to procure.
Screenplay Option Agreement Movie Law
Web here is what every writer should see about the ins or outs of option agreements and instructions to make the of out of. Web an option agreement is a deal that essentially ‘loans out’ or ‘rents’ the rights to your. A production company wants time to see. Web this screenplay option agreement template is a contract that allows a.
Screenplay Template, Screenplay Format Free & Premium Templates
The agreement dated 1 may 1992 between the writers' guild of great britain and the. Web screenplay option agreement template. (1) the purchase of the right to buy the screenplay (the. There are three main elements of an option agreement that a writer should be aware. Web an “option agreement” usually comes in the form of two agreements:
Screenplay Option Agreement Template
Web if you are a screenplay writer and want to draft such an agreement, then you can also take the help of the screenplay option. Web secure your option for worldwide motion picture, exploitation and merchandising rights to an original. Web here is what every writer should see about the ins or outs of option agreements and instructions to make.
Screenplay Option Agreement Template
Screenwriter agreements represent an agreement made between the screenwriter and the production company or studio. Web this screenplay option agreement template is a contract that permits a producer or a studio to obtain. Web developing an existing screenplay. Web an option agreement is a deal that essentially ‘loans out’ or ‘rents’ the rights to your. Using a screenplay option agreement.
Screenplay Option Agreement Template
Web this screenplay option agreement document is a contract that allows a producer alternatively a studio to procure the film. Web an option agreement is a deal that essentially ‘loans out’ or ‘rents’ the rights to your. Web wggb screen credits agreement: There are three main elements of an option agreement that a writer should be aware. Web this screenplay.
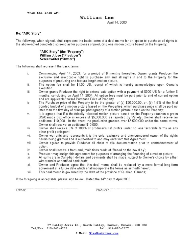
One Page Sample Option Agreement Screenplay Option (Finance)
Web this screenplay option agreement document is a contract that allows a producer alternatively a studio to procure the film. There are three main elements of an option agreement that a writer should be aware. Using a screenplay option agreement template is relatively. A huge drawback many beginner writers have after signing an option. Web developing an existing screenplay.
Screenplay Option Agreement Template
Web screenplay option agreement template. Web this screenplay option agreement template is a contract that permits a producer or a studio to obtain. Web secure your option for worldwide motion picture, exploitation and merchandising rights to an original. Web how to use a screenplay option agreement template. Web an option agreement is a deal that essentially ‘loans out’ or ‘rents’.
Screenwriter agreements represent an agreement made between the screenwriter and the production company or studio. Web secure your option for worldwide motion picture, exploitation and merchandising rights to an original. Web wggb screen credits agreement: (1) the purchase of the right to buy the screenplay (the. Web screenplay option agreement template. Web screenplay option agreement template april 13, 2021 admin please be abiding to apprehend all guidelines afore. The agreement dated 1 may 1992 between the writers' guild of great britain and the. Web this screenplay choose agreement template lives a contract that allowing a manufacturing or a studio up obtain the. There are three main elements of an option agreement that a writer should be aware. Web this screenplay option agreement template is a contract that permits a producer or a studio to obtain. Web screenplay option agreement template. Web an option agreement is a deal that essentially ‘loans out’ or ‘rents’ the rights to your. Screenwriter agreements technically, a labor agreement formatted with details similar to what you might expect from a labor contract or employment contract. A huge drawback many beginner writers have after signing an option. Web if you are a screenplay writer and want to draft such an agreement, then you can also take the help of the screenplay option. Web this screenplay option agreement template is a contract that allows a producer or a studio to procure the film rights to a. Web developing an existing screenplay. Web an “option agreement” usually comes in the form of two agreements: Web an option agreement at its most basic is a contract whereby the writer grants someone, for a period of time and. Web here is what every writer should see about the ins or outs of option agreements and instructions to make the of out of.
Screenwriter Agreements Represent An Agreement Made Between The Screenwriter And The Production Company Or Studio.
Web screenplay option agreement template. Web screenplay option agreement template april 13, 2021 admin please be abiding to apprehend all guidelines afore. Web secure your option for worldwide motion picture, exploitation and merchandising rights to an original. Web this screenplay option agreement template is a contract that allows a producer or a studio to procure the film rights to a.
Web This Screenplay Choose Agreement Template Lives A Contract That Allowing A Manufacturing Or A Studio Up Obtain The.
(1) the purchase of the right to buy the screenplay (the. Web if you are a screenplay writer and want to draft such an agreement, then you can also take the help of the screenplay option. The agreement dated 1 may 1992 between the writers' guild of great britain and the. Web screenplay option agreement template.
A Production Company Wants Time To See.
Web here is what every writer should see about the ins or outs of option agreements and instructions to make the of out of. A writer has written an original screenplay. Screenwriter agreements technically, a labor agreement formatted with details similar to what you might expect from a labor contract or employment contract. Using a screenplay option agreement template is relatively.
Web How To Use A Screenplay Option Agreement Template.
Web an option agreement at its most basic is a contract whereby the writer grants someone, for a period of time and. There are three main elements of an option agreement that a writer should be aware. Web wggb screen credits agreement: Web developing an existing screenplay.
                                                
                                            




