Single Song Contract Template - Easily customize your recording agreement.
Single song contract template (Tennessee) in Word and Pdf formats
Easily customize your recording agreement.
FREE 22+ Sample Music Contract Templates in PDF MS Word Google Docs
Easily customize your recording agreement.
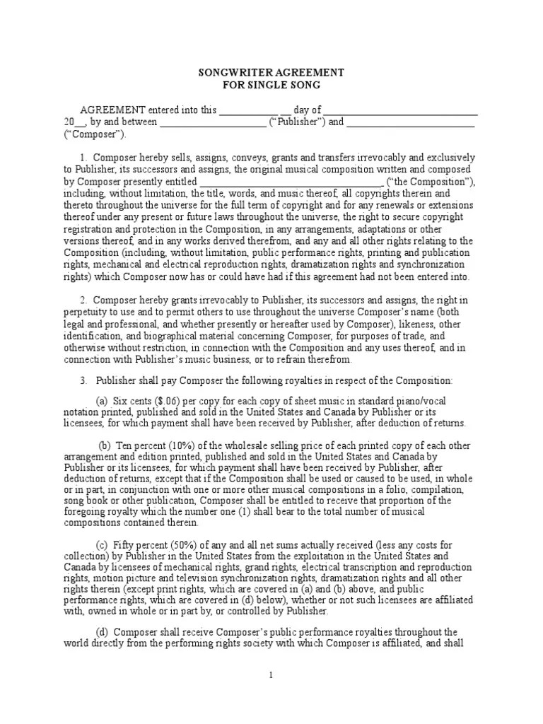
Example Single Song Recording Agreement Royalty Payment Copyright
Easily customize your recording agreement.
Single song contract template (Tennessee) in Word and Pdf formats
Easily customize your recording agreement.
Single song contract template (Tennessee) in Word and Pdf formats
Easily customize your recording agreement.
FREE 22+ Sample Music Contract Templates in PDF MS Word Google Docs
Easily customize your recording agreement.
Easily customize your recording agreement.





